Чтобы использовать модель безопасности Mic, нужно создать объект (объекты) этой модели. При этом нужно задать множество уровней целостности субъектов/ресурсов.
Объект модели безопасности Mic имеет следующие параметры:
config – множество уровней целостности или конфигурация множества уровней целостности:degrees – множество градаций для формирования множества уровней целостности;categories – множество категорий для формирования множества уровней целостности.Примеры:
policy object mic : Mic {
config = ["LOW", "MEDIUM", "HIGH"]
}
policy object mic_po : Mic {
config =
{ degrees : ["low", "high"]
, categories : ["net", "log"]
}
}
Множество уровней целостности представляет собой частично упорядоченное множество, которое является линейно упорядоченным или содержит несравнимые элементы. Множество {LOW, MEDIUM, HIGH} является линейно упорядоченным, так как все его элементы сравнимы между собой. Несравнимые элементы появляются, когда множество уровней целостности задается через множество градаций и множество категорий. В этом случае множество уровней целостности L представляет собой декартово произведение булеана множества категорий C на множество градаций D:

Параметры degrees и categories в примере задают следующее множество:
{
{}/low, {}/high,
{net}/low, {net}/high,
{log}/low, {log}/high,
{net,log}/low, {net,log}/high
}
В этом множестве {} означает пустое множество.
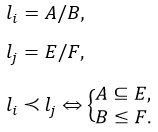
Отношение порядка между элементами множества уровней целостности L задается следующим образом:

Согласно этому отношению порядка j-й элемент превышает i-й элемент, если подмножество категорий E включает подмножество категорий A, и градация F больше градации B либо равна ей. Примеры сравнения элементов множества уровней целостности L:
Для субъектов и ресурсов с несравнимыми уровнями целостности модель безопасности Mic предусматривает условия, аналогичные тем, которые эта модель безопасности предусматривает для субъектов и ресурсов со сравнимыми уровнями целостности.
По умолчанию информационные потоки между субъектам с несравнимыми уровнями целостности запрещены, но опционально такие информационные потоки могут быть разрешены. (Нужно гарантировать, что субъекты, принимающие данные, не будут компрометированы.) Потребителю ресурсов запрещено записывать данные в ресурс и читать данные из ресурса, если уровень целостности ресурса несравним с уровнем целостности потребителя ресурсов. Опционально потребителю ресурсов может быть разрешено чтение данных из ресурса. (Нужно гарантировать, что потребитель ресурсов не будет компрометирован.)
Объект модели безопасности Mic может быть покрыт аудитом безопасности. Условия выполнения аудита, специфичные для модели безопасности Mic, отсутствуют.
Необходимость создавать несколько объектов модели безопасности Mic возникает в следующих случаях: