To use the Mic security model, you need to create an object or objects of this model. You also need to assign a set of integrity levels for subjects and resources.
A Mic security model object has the following parameters:
config refers to a set of integrity levels or configuration of a set of integrity levels:degrees refers to a set of gradations for generating a set of integrity levels.categories refers to a set of categories for generating a set of integrity levels.Examples:
policy object mic : Mic {
config = ["LOW", "MEDIUM", "HIGH"]
}
policy object mic_po : Mic {
config =
{ degrees : ["low", "high"]
, categories : ["net", "log"]
}
}
A set of integrity levels is a partially ordered set that is linearly ordered or contains incomparable elements. The set {LOW, MEDIUM, HIGH} is linearly ordered because all of its elements are comparable to each other. Incomparable elements arise when a set of integrity levels is defined through a set of gradations and a set of categories. In this case, the set of integrity levels L is a Cartesian product of the Boolean set of categories C multiplied by the set of gradations D:

The degrees and categories parameters in this example define the following set:
{
{}/low, {}/high,
{net}/low, {net}/high,
{log}/low, {log}/high,
{net,log}/low, {net,log}/high
}
In this set, {} means an empty set.
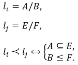
The order relation between elements of the set of integrity levels L is defined as follows:

According to this order relation, the jth element exceeds the ith element if the subset of categories E includes the subset of categories A, and gradation F is greater than or equal to gradation A. Examples of comparing elements of the set of integrity levels L:
For subjects and resources that have incomparable integrity levels, the Mic security model provides conditions that are analogous to the conditions that the security model provides for subjects and resources that have comparable integrity levels.
By default, data streams between subjects that have incomparable integrity levels are prohibited. However, you have the option to allow such data streams if you can guarantee that the subjects receiving data will not be compromised. A resource consumer is prohibited from writing data to a resource and read data from a resource if the integrity level of the resource is incomparable to the integrity level of the resource consumer. You have the option to allow the resource consumer to read data from a resource if you can guarantee that the resource consumer will not be compromised.
A Mic security model object can be covered by a security audit. There are no audit conditions specific to the Mic security model.
It is necessary to create multiple objects of the Mic security model in the following cases: